2019考研:高数必考题型之泰勒公式的应用
2018/4/10 15:45:01
来源: 本站
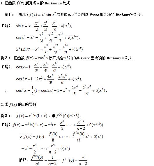
海天考研老师介绍,求极限的各种方法、无穷小与函数的连续性、导数与微分法、求导方法、微积分中存在性问题证明等都是高数重点题型,下面我们来看泰勒公式的应用:







热门推荐



