2025考研数学(三)真题—填空题
2024/12/25 10:36:27
来源: 网络
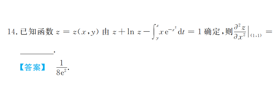
在2025考研初试数学考试结束后,知道大家都在关注2025年考研真题及解析,海天考研网为各位考生带来2025考研数学三真题及解析汇总,包括考研数学三填空题部分,助力各位考生备考。







以上就是海天考研网为各位考生整理的2025考研数学(三)真题—填空题,仅限参考。持续为考研学子更新其他考研科目考研真题及答案解析,各位考生可以根据自身需要关注收藏,及时查看完整版2025考研真题及答案解析。

热门推荐



